|
浩ちゃん掲示板
|
| ●2025年12月分● |
| 投稿者 | ゆみM [1] | |
| 時刻 | 2025/12/01 00:00:07 | |
| 題名 | 12月 | |
| 今日から12月ですねー。だんだん寒くなってきましたねー。12月もよろしくお願いします! | ||
| 投稿者 | 明子 [2] | |
| 時刻 | 2025/12/01 00:00:08 | |
| 題名 | (-。-)y-oO○ | |
| 12月もちょ→だんでぃ→によろしく(-。-)y-oO○ | ||
| 投稿者 | たっちゃん [3] | |
| 時刻 | 2025/12/01 00:02 | |
| 題名 | 寒いねぁ | |
| なんかえらい寒なってもうたねぁ。風邪引かんように気ぃつけなあかんねぁ。 ここで言いたい事は「今月もよろしくお願いします。」と言う事です。 |
||
| 投稿者 | はるか [4] | |
| 時刻 | 2025/12/01 00:06 | |
| 題名 | 12月 | |
| 12月もよろしくお願いいたします。 | ||
| 投稿者 | よっしー [5] | |
| 時刻 | 2025/12/01 00:15 | |
| 題名 | 12月 | |
| こんばんは。明日はゆみちゃんの誕生日なのでお休みを取りました。誕生日に休む人ってどれぐらい居るのかなあ。周りではたまに見掛けるぐらいかなあ。今月もよろしくお願いします。 | ||
| 投稿者 | 烈火 [6] | |
| 時刻 | 2025/12/01 00:22 | |
| 題名 | 12月 | |
| よろしくお願いします。 | ||
| 投稿者 | かおR [7] | |
| 時刻 | 2025/12/01 07:30 | |
| 題名 | 12月 | |
| おはようございます。今日から12月ですね。今年も期間限定でポットシチューパイとマロンパンを販売します。是非食べに来て下さいね。 今月もよろしくお願い致します。 かおり |
||
| 投稿者 | こうちゃん [8] | |
| 時刻 | 2025/12/01 19:00 | |
| 題名 | 12月開始 | |
| 今月も早くからご意見をいただきありがとうございます。気付いたら今年も残すところあと1カ月になってしまいました。なんか今年は今までで一番早く感じました。年々歳を取っていくので、自分の人生に占める1年の長さが相対的に短くなっていくので当たり前かも知れませんが、おそらく来年末にもまた同じことを言ってそうな気がします。でも振り返ってみると結構色んなところに旅行に行ったり、色んなゲームをしたり、色んなものを食べたりして、色んなことをやっています。また年末に振り返ってみようと思います。 今月も浩ちゃんは“ほなね”のホームページならびに浩ちゃん掲示板をよろしくお願い致します。 |
||
| 投稿者 | よっしー [9] | |
| 時刻 | 2025/12/02 00:00 | |
| 題名 | ゆみちゃんの誕生日 | |
| おはようございます。よっしーです。今日はゆみちゃんのお誕生日。おめでとう。今日はお休みを取ったので楽しみにしておいてや。 | ||
| 投稿者 | たっちゃん [10] | |
| 時刻 | 2025/12/02 00:02 | |
| 題名 | サツマイモ | |
| サツマイモをもらったんやけどあんまり食べる習慣があれへんから今度の集会の時に持って行くわ。 ここで言いたい事は「ゆみM誕生日おめでとう。」と言う事です。 |
||
| 投稿者 | はるか [11] | |
| 時刻 | 2025/12/02 00:06 | |
| 題名 | Happy Birthday Dear Yumiko | |
| ゆみM誕生日おめでとう。今年もよろしくね。 | ||
| 投稿者 | 烈火 [12] | |
| 時刻 | 2025/12/02 00:18 | |
| 題名 | 中山誕生日おめでとう | |
| おめでとう。 | ||
| 投稿者 | 明子 [13] | |
| 時刻 | 2025/12/02 07:15 | |
| 題名 | ( ̄ー ̄)<誕生日 | |
| 誕生日おめでとう( ̄ー ̄)>ゆみM あとで誕生日プレゼント渡すわ( ̄¬ ̄) |
||
| 投稿者 | かおR [14] | |
| 時刻 | 2025/12/02 07:30 | |
| 題名 | HAPPY BIRTHDAY DEAR YUMIMI♪ | |
| おはようございます。今日はゆみちゃんのお誕生日ですね。おめでとうございます。あとでポストにお誕生日プレゼントを入れておきますね。これからもよろしくね。 | ||
| 投稿者 | ゆみM [15] | |
| 時刻 | 2025/12/02 08:18 | |
| 題名 | ロイヤルファミリー | |
| 日常劇場のロイヤルファミリーが面白くて毎週楽しみに見ています。競馬のドラマって珍しいですからねー。来週はルメールが登場するみたいですねー。ロイヤルファミリーも有馬記念で勝つかどうか楽しみにしています。 | ||
| 投稿者 | こうちゃん [16] | |
| 時刻 | 2025/12/02 19:00 | |
| 題名 | 誕生日 | |
| ゆみMさんお誕生日おめでとうございます。1日も欠かさず意見をいただきありがとうございます。また、私がホームページを更新できない時は代理で更新していただきありがとうございます。これからもよろしくお願いいたします。 ロイヤルファミリーは私も見ています。確かに競馬を題材にしたドラマは珍しいと思います。実際に馬が登場し、走っているシーンも撮影しているのがすごいです。ゆみMさんがおっしゃっているようにロイヤルファミリーは有馬記念で優勝することができるのかどうか気になります。 |
||
| 投稿者 | すぃ泉進二郎 [17] | |
| 時刻 | 2025/12/02 19:17 | |
| 題名 | 誕生日おめでとうございます(・o・)>M | |
| ゆみMさんは今日が誕生日なんですね(・o・) 私も誕生日に生まれたんです(・o・) |
||
| 投稿者 | 明子 [18] | |
| 時刻 | 2025/12/03 07:18 | |
| 題名 | 当たり前( ̄ー ̄)b<私も誕生日に生まれたんです(・o・) | |
| アイコンも新しいのが出てきてるじゃん( ̄ー ̄) 首相にならなくて良かったわ( ̄ー ̄) |
||
| 投稿者 | ゆみM [19] | |
| 時刻 | 2025/12/03 08:17 | |
| 題名 | ありがとうねー | |
| 私もとうとう48歳になりましたー。みんなのお陰で楽しい人生が送れています。「私も誕生日に生まれた」って言ってる人も居ますねー( ̄ー ̄) 誕生日はみんな平等に訪れるものだから生きてたらやって来るけどこうやってみんなにお祝いされるとやっぱり嬉しいですねー。みんなありがとう! | ||
| 投稿者 | はるか [20] | |
| 時刻 | 2025/12/03 09:10 | |
| 題名 | 寒いね | |
| 寒さで目が覚めた。 | ||
| 投稿者 | こうちゃん [21] | |
| 時刻 | 2025/12/03 19:00 | |
| 題名 | ふるさと納税 | |
| 毎年12月になるとふるさと納税をします。本当はもっと早くしようと思うのですが、毎年12月になってしまいます。今年は牛肉とお米とうなぎとうにと干物にしようと思います。 明日と明後日はお休みの予定です。ホームページの更新もしないかも知れませんがご了承下さい。ゆみMさんにもしお時間があったら更新をお願いいたします。 |
||
| 投稿者 | 明子 [22] | |
| 時刻 | 2025/12/04 07:15 | |
| 題名 | ( ̄ー ̄)<4℃ | |
| 今朝4℃しかなかったから結構寒かった( ̄ー ̄) いきなり寒くなるとは( ̄ー ̄) |
||
| 投稿者 | かおR [23] | |
| 時刻 | 2025/12/04 07:30 | |
| 題名 | HAPPY BIRTHDAY DEAR KOUCHAN♪ | |
| 浩ちゃんお誕生日おめでとうございます。これからもよろしくお願いしますね。 | ||
| 投稿者 | ゆみM [24] | |
| 時刻 | 2025/12/04 08:18 | |
| 題名 | 副管理人 | |
| 意見をそのまま載せるだけだからホームページの更新をしておきますねー。 | ||
| 投稿者 | はるか [25] | |
| 時刻 | 2025/12/04 09:10 | |
| 題名 | ボーナス | |
| 明日は冬のボーナスの支給日。基本給×2.3カ月。私は2.8カ月かな。 | ||
| 投稿者 | こうちゃん [26] | |
| 時刻 | 2025/12/04 09:20 | |
| 題名 | 冬季賞与 | |
| うちの冬季賞与日は12月の第2木曜日なので今年は12月11日です。組合員平均支給額は、組合員平均月額基本給×平均2.9か月分だそうです。賞与をもらえることは非常にありがたいことだと思いますが、社会保険料と税金の支払いが非常に多いのがいつも気になります。自社株と合わせて3分の1ぐらいは支払っている気がします。将来もらえる予定の年金に反映されるのかな〜。 | ||
| 投稿者 | すぃ泉進二郎 [27] | |
| 時刻 | 2025/12/04 19:50 | |
| 題名 | 誕生日来たってことは年齢が1つ増えるってことなんですね(・o・) | |
| 誕生日おめでとうございます(・o・) 誕生日のような大きなイベントは、それは楽しくなければならず、クールでなければなりません(・o・) それもセクシーでなければなりません(・o・) それをどういう意味かって説明すること自体がセクシーじゃないよね(・o・) |
||
| 投稿者 | 明子 [28] | |
| 時刻 | 2025/12/05 07:18 | |
| 題名 | ( ̄ー ̄)<ボーナス | |
| 今日がボーナスだわ( ̄ー ̄) 楽しみ( ̄ー ̄)y[\6,400,000-] |
||
| 投稿者 | ゆみM [29] | |
| 時刻 | 2025/12/05 08:17 | |
| 題名 | セクシーじゃないですねー | |
| 香織ちゃんとこうちゃんは城崎温泉に旅行に行ってるから私が更新にしておきますねー。明日帰ってくるみたいです。お土産期待していますねー。 | ||
| 投稿者 | はるか [30] | |
| 時刻 | 2025/12/05 09:10 | |
| 題名 | ボーナス | |
| 今回こそは手取りで100万円に届くかな。 | ||
| 投稿者 | たっちゃん [31] | |
| 時刻 | 2025/12/06 00:02 | |
| 題名 | 寒いねぁ | |
| 確かに寒いねぁ。鼻水出てくるわ。 ここで言いたい事は「はるか誕生日おめでとう。」と言う事です。 |
||
| 投稿者 | よっしー [32] | |
| 時刻 | 2025/12/06 00:11 | |
| 題名 | 誕生日おめでとう | |
| 今日ははるかの誕生日やねえ。おめでとうございます。これからもよろしくお願いします。 | ||
| 投稿者 | 明子 [33] | |
| 時刻 | 2025/12/06 08:16 | |
| 題名 | ( ̄ー ̄)<誕生日 | |
| 誕生日おめでとう( ̄ー ̄)>はるか 今日の誕生日会でプレゼント渡すわ( ̄ー ̄) ゆみみと(・o・)の合同誕生日会だから3個準備しておかないといけないのか( ̄ー ̄) まあ(・o・)はなくても別にいいか(´-` ) |
||
| 投稿者 | ゆみM [35] | |
| 時刻 | 2025/12/06 08:19 | |
| 題名 | お誕生日おめでとうございます>はるかちゃん | |
| はるかちゃんお誕生日おめでとうございます! メロンケーキを作ったから集会の時にみんなで食べましょうねー。 | ||
| 投稿者 | はるか [36] | |
| 時刻 | 2025/12/06 09:10 | |
| 題名 | セクシー大臣 | |
| 新内閣になってからなんか頑張ってるみたいよ。セクシーかどうかは別として。 | ||
| 投稿者 | すぃ泉進二郎 [37] | |
| 時刻 | 2025/12/06 10:10 | |
| 題名 | 誕生日おめでとうございます(・o・)>はるか | |
| あっという間に1年が過ぎました、これって世界でも365日が過ぎたってことなんです(・o・) 年末年始、年の瀬、師走、こういう言葉を聞くたびにね、いつもこう思ってきました。もうすぐ新年だな、と(・o・) これで私も大阪から永田町に帰ろうと思います(・o・) 永田町って霞が関にあるんですよね、これって意外に知られていない(・o・) |
||
| 投稿者 | かおR [38] | |
| 時刻 | 2025/12/06 16:06 | |
| 題名 | HAPPY BIRTHDAY DEAR HARUKA♪ | |
| おはようございます。今日ははるかちゃんのお誕生日ですね。おめでとうございます。あとでチョコレートケーキを持って行きますから待っててくださいね♪ | ||
| 投稿者 | こうちゃん [39] | |
| 時刻 | 2025/12/06 17:00 | |
| 題名 | セクシーの理由を説明してもらわないと分からないか〜(・o・)(・o・)(・o・) | |
| 誕生日おめでとうございます。>はるかさん あとで私もプレゼントをお渡しいたします。これからもよろしくお願いいたします。 かおRさんから旅行をプレゼントしていただいたので、一昨日からかおRさんと一緒に城崎温泉に行きました。雪が降っていてビックリしました。後でお土産を楽しみにしておいて下さい。 |
||
| 投稿者 | 烈火 [40] | |
| 時刻 | 2025/12/07 00:12 | |
| 題名 | 中村誕生日おめでとう | |
| おめでとう。 | ||
| 投稿者 | 明子 [41] | |
| 時刻 | 2025/12/07 08:58 | |
| 題名 | △( ̄ー ̄)△<永田町 | |
| 永田町と霞が関は隣接しているけど( ̄ー ̄) なんばと心斎橋みたいな位置関係だけど( ̄ー ̄) |
||
| 投稿者 | ゆみM [42] | |
| 時刻 | 2025/12/07 09:10 | |
| 題名 | お土産ありがとうねー>香織ちゃん | |
| この時期の温泉は良いですよねー。ちょっと寒いから長く入っていられますからねー。私も温泉に行こうっと。 | ||
| 投稿者 | はるか [43] | |
| 時刻 | 2025/12/07 09:40 | |
| 題名 | 永田町 | |
| 以前東京に行った時に霞ヶ関までタクシーで移動した記憶がある。永田町は霞ヶ関にあるのかな。 | ||
| 投稿者 | こうちゃん [44] | |
| 時刻 | 2025/12/07 10:00 | |
| 題名 | 永田町と霞が関 | |
| Wikipediaで地図を確認してみると、永田町が西側で霞が関が東側にありますね。ただこの二つの地名は隠語になっていて、「永田町」は国会議員の代名詞、「霞が関」は官僚の代名詞として使われることもあるそうです。奥が深い。 | ||
| 投稿者 | すぃ泉進二郎 [45] | |
| 時刻 | 2025/12/07 11:06 | |
| 題名 | 外務大臣経験者の岡田さんの質問が悪いですね(・o・) | |
| 私は、セクシーとは言ったが、セクシーとは言ってない(・o・) | ||
| 投稿者 | 明子 [46] | |
| 時刻 | 2025/12/08 07:16 | |
| 題名 | ( ̄ー ̄) | |
| 日本語が不自由な人みたい( ̄ー ̄) 最近覚醒して覚醒進次郎になってるけど( ̄ー ̄) |
||
| 投稿者 | ゆみM [47] | |
| 時刻 | 2025/12/08 08:19 | |
| 題名 | すぃ泉進次郎さん | |
| 難易度が高いですねー。 今日も寒いですねー。いつの間にか冬になりましたねー。今日はお洗濯とお掃除をしたら香織ちゃんからもらった温泉まんじゅうを食べながらお部屋でのんびりします。 |
||
| 投稿者 | はるか [48] | |
| 時刻 | 2025/12/08 09:10 | |
| 題名 | 買い物 | |
| ワイヤレスヘッドホンを買おうかな。 | ||
| 投稿者 | こうちゃん [49] | |
| 時刻 | 2025/12/08 19:00 | |
| 題名 | ワイヤレスヘッドホン | |
| Bowers & WilkinsのB&W Px8というワイヤレスヘッドホンが最近人気です。デザイン性を重視するならSONYのWH-1000XMシリーズやAPPLEのAir Pos MAXなんかも人気です。最近はワイヤレス&ワイヤードの両方できるものが増えてきているので、それを選んだ方が良いと思います。あとはフィット性が重要なので、一度視聴してみるのが一番だと思います。 | ||
| 投稿者 | 明子 [50] | |
| 時刻 | 2025/12/09 07:15 | |
| 題名 | ( ̄ー ̄)<ワイヤレスヘッドホン | |
| ワイヤレスにもできるヘッドホンってことか( ̄ー ̄) APPLEの方がiPhoneとの連携が良さそうなイメージ( ̄ー ̄) |
||
| 投稿者 | ゆみM [51] | |
| 時刻 | 2025/12/09 08:17 | |
| 題名 | ワイヤレスヘッドホン | |
| うちは地下室が防音になってるから地下室で音楽を聴くことが多いですねー。ヘッドホンがなくても外に音が漏れないから良いですよー。好きな音楽があったら流しますよー。 | ||
| 投稿者 | はるか [52] | |
| 時刻 | 2025/12/09 09:10 | |
| 題名 | ワイヤレスヘッドホン | |
| 週末に見に行ってみようかな。 | ||
| 投稿者 | こうちゃん [53] | |
| 時刻 | 2025/12/09 19:00 | |
| 題名 | ワイヤレスヘッドホン | |
| 一時期かおRさんがヘッドホンを調べていたので、かおRさんの意見も聞いてみても良いかも知れません。ヘッドホンは冬だと暖かそうなイメージです。風が強い日は耳がちぎれそうな感じで冷たくなることがあるので、そういう時に役立ちそう。 | ||
| 投稿者 | 明子 [54] | |
| 時刻 | 2025/12/10 07:16 | |
| 題名 | ( ̄ー ̄)<ワイヤレスヘッドホン | |
| 香織ちゃんがおすすめしてくれたらすぐに買うわ( ̄ー ̄) 何しろ香織ちゃんに選ばれたヘッドホンっていうだけで価値が爆上がりだからね( ̄ー ̄) ヘッドホンに興味がなくても買うわ( ̄ー ̄) |
||
| 投稿者 | かおR [55] | |
| 時刻 | 2025/12/10 07:36 | |
| 題名 | ヘッドフォン | |
| BoseのQuietComfort Ultra Headphonesが良かったです。音の広がりが感じられました。モードが簡単に色々選べて自分に合ったモードで音を聞くことができます。 あとはSONYのWH-1000XMシリーズが声がクリアに聞こえる気がしました。ノイズキャンセルがよく利きます。どちらもおすすめだけど今ならSONYを買うと思います。 |
||
| 投稿者 | ゆみM [56] | |
| 時刻 | 2025/12/10 08:18 | |
| 題名 | ワイヤレスヘッドホン | |
| 香織ちゃんがおすすめしてくれるんだったら私も買おうかなー。1個も持ってないから1個くらい持ってても良いですからねー。 | ||
| 投稿者 | はるか [57] | |
| 時刻 | 2025/12/10 09:10 | |
| 題名 | なるほど | |
| 香織ちゃんがおすすめしてくれるならそれにする。もうそれしか選択肢がないぐらいよね。 | ||
| 投稿者 | こうちゃん [58] | |
| 時刻 | 2025/12/10 19:00 | |
| 題名 | かおRさんおすすめ | |
| かおRさんのおすすめって言うだけでかなりの信頼感がありますね〜。私のおすすめはAPPLEのAir Pods MAXです。他のAPPLE製品との連携がとても良いです。おすすめしておきます。 | ||
| 投稿者 | まさすぃ [59] | |
| 時刻 | 2025/12/10 21:00 | |
| 題名 | なんだか、キングボンビーが去った後みたいな感覚(・o・) | |
| ボーナス日か〜(・o・) 税金とかいろいろ引かれたから、手取りは352円(・o・) “ほっともっと”で唐揚げ弁当がギリ買えるかな〜(・o・) |
||
| 投稿者 | 明子 [60] | |
| 時刻 | 2025/12/11 07:16 | |
| 題名 | ( ̄ー ̄)b<SONY WH-1000XMシリーズ | |
| SONY WH-1000XMシリーズ買うわ( ̄ー ̄) 明日香織ちゃんに付き合ってもらって買いに行くわ( ̄ー ̄) |
||
| 投稿者 | ゆみM [61] | |
| 時刻 | 2025/12/11 08:18 | |
| 題名 | ワイヤレスヘッドホン | |
| 香織ちゃんがおすすめのやつ買います。明子ちゃんが明日買うって言ってたから私も明日買いますねー。 | ||
| 投稿者 | はるか [62] | |
| 時刻 | 2025/12/11 09:10 | |
| 題名 | なるほど | |
| SONYのWH-1000XMシリーズね。ちょうど買おうと思ってたからそれを買おうかな。明日見に行くわ。 | ||
| 投稿者 | こうちゃん [63] | |
| 時刻 | 2025/12/11 19:00 | |
| 題名 | (・o・)<WH-1000XM | |
| 私おすすめのAPPLEのAir Pods MAXが全く出てこなかったけど、SONYのWH-1000XMシリーズなら高い次元でバランスが取れているので納得です。特に高温のバランスがとても良いと感じました。私も明日付いて行こうと思ったのですが、女子会をされるみたいなので遠慮しておきます。 | ||
| 投稿者 | こうちゃん [64] | |
| 時刻 | 2025/12/11 19:05 | |
| 題名 | (・o・)<キングボンビー | |
| 私も本日が賞与支給日でした。3分の1ちょっとは社会保険料と税金と自社株積み立てでなくなっていって、いつまで経っても手取りで100万円の壁を突破することができないです。それでも半分持って行くスリの銀次よりはましかも(・o・) | ||
| 投稿者 | 明子 [65] | |
| 時刻 | 2025/12/12 07:15 | |
| 題名 | 久しぶりに見た気がする( ̄ー ̄)<すぃ泉進次郎じゃない人 | |
| 賞与:額面640万円→手取り366万円だけど( ̄ー ̄;) 284万円も持って行かれるのはひど過ぎる( ̄ー ̄;) うな重でも食べて憂さ晴らしするか( ̄¬ ̄) |
||
| 投稿者 | ゆみM [66] | |
| 時刻 | 2025/12/12 08:19 | |
| 題名 | 税金 | |
| ボーナスから税金取るのはやめて欲しいですよねー。でもボーナスから税金を取らなかったら毎月の給料を0にしてボーナスだけで支給する会社が出てくるかも知れませんからねー。難しいですねー。 | ||
| 投稿者 | はるか [67] | |
| 時刻 | 2025/12/12 09:10 | |
| 題名 | ボーナス | |
| こうちゃんと同じぐらいかな。今日は女子会だから明日聞いてみようかな。 | ||
| 投稿者 | こうちゃん [68] | |
| 時刻 | 2025/12/12 18:00 | |
| 題名 | ボーナス | |
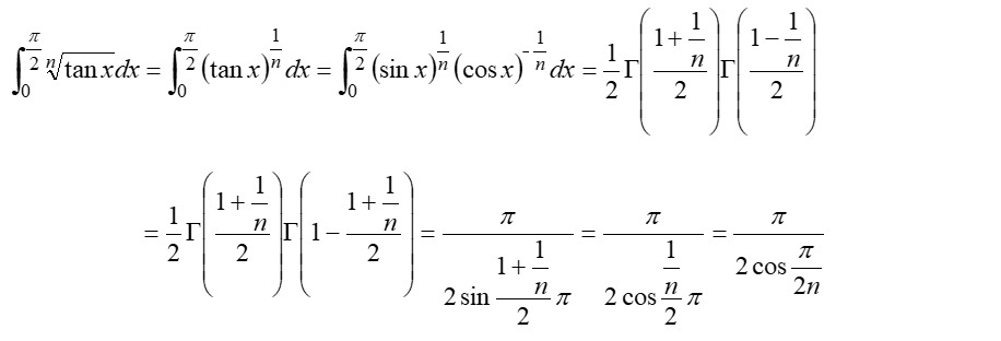
| 毎年はるかさんとほとんど同じだと思います。月の給料も年収もほとんど変わらないので税金や社会保険料もほとんど同じだと思います。私の方が特許報酬の分だけ多いぐらいだと思います。 今夜はかおRさんと明子さんとゆみMさんとはるかさんが女子会なので、私は家でYouTubeでも見ようと思います。ヨビノリの動画にしようかな〜。知ってる人は少ないけど。今週の積分というタイトルで100個の動画を上げているのですが、最終回の√tanxの積分がとても綺麗で感動しました。この積分が紹介される2年前に自分で作って解いていたのですが、その時は角度の値を出して解いていたので、角度を求めなくても解ける方法があることに感動しました。興味がある人は一度ご覧下さい。 YouTubeのリンクを直接貼って良いのか分かりませんが、 【高校数学】今週の積分#100【難易度★★★★★★★★★★】 で検索すると一番上に出てきます。 |
||
| 投稿者 | 明子 [69] | |
| 時刻 | 2025/12/13 08:12 | |
| 題名 | ( ̄ー ̄)b<WH-1000XM6 | |
| 香織ちゃんおすすめのSONY WH-1000XM6を買ったわ( ̄ー ̄) ヨドバシカメラで試着して買った( ̄ー ̄) 今日からこれを香織ちゃんだと思って使うことにするわ( ̄ー ̄) 女子会でうな重食べてから居酒屋に行った( ̄¬ ̄)b ( ̄ー ̄)ノ⌒°<積分 |
||
| 投稿者 | ゆみM [70] | |
| 時刻 | 2025/12/13 08:20 | |
| 題名 | 女子会 | |
| 女子会楽しかったですよー。個室でソファー席のちょっといい居酒屋に行きましたー。お刺身がおいしかったです。ヘッドホンも香織ちゃんおすすめのが買えて大満足です!早速使いますねー。 | ||
| 投稿者 | はるか [71] | |
| 時刻 | 2025/12/13 09:10 | |
| 題名 | ヘッドホン | |
| 香織ちゃんに選んでもらって購入完了。大満足。 | ||
| 投稿者 | こうちゃん [72] | |
| 時刻 | 2025/12/13 10:00 | |
| 題名 | 積分楽しいのに(・o・;)<「( ̄ー ̄)ノ⌒°<積分」 | |
| 積分は電気料金の計算や電気回路の演算などに使われています。変わったところでは桜の開花予報や電子体温計なんかにも使われています。でも我々の日常生活で我々が直接積分を利用することはないので、補助的な役割を担っている場合が多いです。数学が嫌いな人が挙げる理由で1番多いものは、「これが一体何の役に立つか分からない。」というものだそうです。なので、数学の先生は、これがどんな分野に役立っているかも合わせて一緒に教えれば、数学に興味を持ってくれる人が増えるかも知れないと思っています。三角関数だとシューティングゲームやGPSによる位置情報、それこそ昨日購入されたヘッドホンのノイズキャンセリング機能にも使われているのですが、それでもユーザーが直接使う必要はないので、やっぱり補助的な役割を担っている場合が多いです。数学は数学自体が表立って活躍することは少ないかも知れませんが、縁の下の力持ち的な役割で我々の日常生活にかかわっている場合が多いです。 積分もやってみると面白いよ〜。 |
||
| 投稿者 | まさすぃ [73] | |
| 時刻 | 2025/12/13 18:15 | |
| 題名 | あ〜あれね(・o・)<★★★★★★★★★★ | |
| 最近、スーパー銭湯的なところで半日のんびりするブーム(・o・) ご飯もあるし、リクライニングチェアーで寝れたりするから、のんびりできる(・o・) 今日は、中京競馬場で馬券を買いつつ、その近くの「みどり楽の湯」に行ってみた(・o・) 食事がおいしいのか、そこそこ有名みたいで、テレビ局なのか、Youtuberなのか、料理の撮影やってた(・o・) なんかギャクみたいのをやってたけど、まったく面白くなかった(・o・) その横で、鉄板ナポリタンと、ジャガバターを食べて、お腹いっぱいになった(・o・) そこは、露天風呂が開放的で良い(・o・) 露天風呂といっても、塀で囲まれてたり、屋根があったりするのが結構あるので、そういう露天風呂だと、外にあるだけで露天感が少ない(・o・) みどり楽の湯は結構開放的で良かった(・o・) 平たい顔族のテルマエ級の快適さ(・o・) |
||
| 投稿者 | 烈火 [74] | |
| 時刻 | 2025/12/14 00:15 | |
| 題名 | √tanxの積分 | |
| 面白かった。(tanx)^(1/n)の積分とかできるのかな。 | ||
| 投稿者 | 明子 [75] | |
| 時刻 | 2025/12/14 09:03 | |
| 題名 | ( ̄¬ ̄)<鉄板ナポリタンとジャガバター | |
| スーパー銭湯自体が減って来てる気がする( ̄ー ̄) 前は近所にあったのにコロナの時になくなってしまった( ̄ー ̄) スパワールドはまだあるのかな( ̄ー ̄) |
||
| 投稿者 | ゆみM [76] | |
| 時刻 | 2025/12/14 09:12 | |
| 題名 | スーパー銭湯良いですねー>まさすぃ | |
| のんびりできそうですねー。お風呂上がりにフルーツ牛乳を飲むのがおいしいですよー。 文系の人だったらそもそも積分を習わないで終わってしまうこともあるのかなー?基礎解析で習った記憶もちょっとだけある気がします。もう忘れてしまいましたけどねー。自分で色々計算できるようになったら面白いと思うのかなー? |
||
| 投稿者 | はるか [77] | |
| 時刻 | 2025/12/14 09:40 | |
| 題名 | スーパー銭湯 | |
| のんびりしてたらそのまま寝てしまいそう。 ノイズキャンセリングsin波で打ち消してるのは何となく分かる。 浩ちゃんのボーナスと私のボーナスは今年も同じぐらいだったね。浩ちゃんは何かに使うのかな。 |
||
| 投稿者 | こうちゃん [78] | |
| 時刻 | 2025/12/14 10:00 | |
| 題名 | 本当かな(・o・)<「あ〜あれね(・o・)<★★★★★★★★★★」 | |
| 多項式関数の積分は高校2年生で習います。ゆみMさんがおっしゃっているように、私達の時代では基礎解析と呼んでいて、今だと数学Uの範囲になります。数学Vの範囲の積分が多項式関数以外の積分もやることになっています。そちらの方が工業的には一般的に使われています。工学部の数学の入試は、大学によっては5割〜7割ぐらいが微分積分の問題が出題されたりする場合もあります。数学=微分積分という人も居るぐらい、微分積分は数学の要になっていると言っても過言ではないです。 ちなみに(tanx)^(1/n)(0≦x≦π/2)の積分はベータ関数とガンマ関数を使うので大学の解析学の範疇になると思います。高校生には解けないと思います。 |
||
| 投稿者 | こうちゃん [79] | |
| 時刻 | 2025/12/14 10:05 | |
| 題名 | YouTuber | |
| なんばや梅田の飲食店でもたまに「すいませーん。撮影良いですかー?」って言いながら入ってくるYouTuberを見掛けます。半分ぐらい断られてる気がします。あとは動画撮影をしながら独り言を言って歩いている人もよく見掛けます。昔よりもYouTuberは増えたのかな〜。ちなみにYouTuberの99%以上は月の収益が1万円以下だそうです。 大阪にもスパワールドが新今宮にあって、一応世界の大温泉という名前で昔はCMが放送されていました。今は勢いがないですが、それでもスパワールド自体はまだ営業しているので、大阪で温泉に入るのならスパワールドもおすすめかも。 |
||
| 投稿者 | 明子 [80] | |
| 時刻 | 2025/12/15 07:16 | |
| 題名 | ( ̄ー ̄)<YouTuber | |
| YouTuberにインタビューされたことあるわ( ̄ー ̄) 適当に受け流したけど( ̄ー ̄) |
||
| 投稿者 | ゆみM [81] | |
| 時刻 | 2025/12/15 08:18 | |
| 題名 | スパワールド | |
| 後でスパワールドに行って来ますねー。香織ちゃんを誘ったら一緒に来てくれるかなー?一人で行くのはちょっと寂しいですからねー。 | ||
| 投稿者 | はるか [82] | |
| 時刻 | 2025/12/15 09:10 | |
| 題名 | 露天風呂 | |
| 露天風呂の端と景色がつながっているように見えるところがあるって聞いたことがある。少し前に流行ったインフィニティプールみたいな感じ。 | ||
| 投稿者 | こうちゃん [83] | |
| 時刻 | 2025/12/15 19:00 | |
| 題名 | スパワールド | |
| ゆみMさんが来られてかおRさんを誘ってスパワールドに行ってたのですね。3時間ぐらいで帰って来られたのでお買い物かと思っていました。今年うめきた広場に温泉がオープンしました。まだ行ったことがないのですが、ネットを見ていると意外と好評みたいで一度行ってみたいものです。 | ||
| 投稿者 | まさすぃ [74] | |
| 時刻 | 2025/12/15 20:07 | |
| 題名 | テルマエがあるじゃん(・o・)<スパワールド | |
| 小池栄子のイメージ(・o・) | ||
| 投稿者 | 明子 [85] | |
| 時刻 | 2025/12/16 07:17 | |
| 題名 | ( ̄ー ̄)<スパワールド | |
| スパワールドってずっと倒産したのかと思ってた( ̄ー ̄) まだあったんだ( ̄ー ̄) |
||
| 投稿者 | ゆみM [86] | |
| 時刻 | 2025/12/16 08:18 | |
| 題名 | スパワールド | |
| 香織ちゃんと一緒に行って来ましたー。平日だからあまり人が来ていなかったですねー。だから色んな温泉にゆっくり入れました。昼間に温泉に入るのおすすめー。 | ||
| 投稿者 | はるか [87] | |
| 時刻 | 2025/12/16 09:10 | |
| 題名 | 温泉良いね | |
| 平日の昼間に温泉に行きたい。26日にお休みを取って行ってみようかな。 | ||
| 投稿者 | こうちゃん [88] | |
| 時刻 | 2025/12/16 19:00 | |
| 題名 | 25年前か〜(・o・)<小池栄子CM | |
| 冬に温泉に行く人が多いみたいです。私のイメージは春や秋が温泉の季節だと思っていたのですが、ネットを調べてみると、やっぱり温泉は冬だという意見が多かったです。かおRさんに聞いてみても温泉はいつでも行きたいけど、一番行きたいのは冬だと言っていました。年末年始休暇に温泉に行こうかな。 | ||
| 投稿者 | 烈火 [89] | |
| 時刻 | 2025/12/16 23:31 | |
| 題名 | (tanx)^(1/n)の積分 | |
| 結局分からなかった。どうやるのだろう。 | ||
| 投稿者 | 明子 [90] | |
| 時刻 | 2025/12/17 07:15 | |
| 題名 | 懐かしい( ̄ー ̄)<小池栄子 | |
| ♪日本最大級の水遊び〜( ̄ー ̄)♪ って歌いながら胸が揺れるやつね( ̄ー ̄) ローカルなCMなのに全国的に有名だったやつだわ( ̄ー ̄) |
||
| 投稿者 | ゆみM [91] | |
| 時刻 | 2025/12/17 08:21 | |
| 題名 | スパワールド | |
| 今でも藤森慎吾がCMやってますけどねー。明子ちゃんもこうちゃんも興味なさすぎですねー。もっと温泉に興味持たないとねー。 | ||
| 投稿者 | はるか [92] | |
| 時刻 | 2025/12/17 09:10 | |
| 題名 | 温泉良いね | |
| 26日に有給休暇を取った。5日も有給休暇を取ったから11連休。26日はスパワールドに行ってみようかな。 | ||
| 投稿者 | こうちゃん [93] | |
| 時刻 | 2025/12/17 19:00 | |
| 題名 | 年末年始休暇 | |
| うちは12月27日から1月4日までの9連休になります。9連休は結構長い方だと思いますが、今年はカレンダーの都合上、9連休の方が結構多そうな気がします。うちも本来は12月29日から1月4日までの7連休が標準なのですが、12月27日と28日が土曜日と日曜日なので連休が長くなっています。私は29日からかおRさんと和歌山にクエ料理を食べに行く予定になっています。クエ自体食べた記憶がないのでどんな味なのか楽しみです。 | ||
| 投稿者 | 明子 [94] | |
| 時刻 | 2025/12/18 07:18 | |
| 題名 | ( ̄¬ ̄)<クエ料理 | |
| うちも年末年始休暇は9連休( ̄ー ̄) はるかって長期連休の後にもう1日追加して有給休暇を取る傾向にあるよね( ̄ー ̄) 今回は前後に取るのか( ̄ー ̄) |
||
| 投稿者 | ゆみM [95] | |
| 時刻 | 2025/12/18 08:20 | |
| 題名 | クエ料理 | |
| クエ料理って食べたことないですねー。クエでも食えってよく言ってたけど実際には食べたことないです。白身の魚っぽいから鯛とか河豚とかと似たような味がするのかなー? | ||
| 投稿者 | はるか [96] | |
| 時刻 | 2025/12/18 09:10 | |
| 題名 | クエ | |
| 昔食べたことがある。脂がのっててプリプリしてる。おいしいよ。 | ||
| 投稿者 | こうちゃん [97] | |
| 時刻 | 2025/12/18 19:00 | |
| 題名 | クエ | |
| クエは私もゆみMさんと同じで、鯛やふぐを想像していたのですが、はるかさんが言っているのを聞くと違うのかも知れません。楽しみにしています。 | ||
| 投稿者 | こうちゃん [98] | |
| 時刻 | 2025/12/19 19:05 | |
| 題名 | (tanx)^(1/n)の積分 | |
| (tanx)^(1/n)(0≦x≦π/2)の積分を解いたのでこちらに掲載しておきます。2行目の2つ目のイコールのところで、ガンマ関数の相反公式というものを使っています。話すと長くなるのでこちらのページをご覧下さい。 | ||
| 投稿者 | まさすぃ [99] | |
| 時刻 | 2025/12/18 22:19 | |
| 題名 | あ〜、あれね(・o・)<(tanx)^(1/n)の積分 | |
| もう25年前か〜(・o・) ハナテン中古車センターくらい覚えてるけど(・o・) |
||
| 投稿者 | かおR [100] | |
| 時刻 | 2025/12/19 07:17 | |
| 題名 | スパワールド | |
| 温泉だけじゃなくて岩盤浴やプールもありますね。世界12か国の17種類の温泉が楽しめるようになっていました。さすがは世界の大温泉ですね。ホテルも併設されていて温泉に入った後にそのまま宿泊できるのもポイントが高いですね。 | ||
| 投稿者 | 明子 [101] | |
| 時刻 | 2025/12/19 07:18 | |
| 題名 | ( ̄ー ̄)<(tanx)^(1/n)の積分 | |
| なんか簡単そうなのに解けないんだ( ̄m ̄) 私も26日は休んでスパワールドに行ってみようかな( ̄ー ̄) |
||
| 投稿者 | ゆみM [102] | |
| 時刻 | 2025/12/19 08:17 | |
| 題名 | 利上げ | |
| 日銀の政策金利が0.5%から0.75%に上がりますねー。これで少しは円高になったりするのかなー?今1ドル155円くらいだからかなり円安ですからねー。円高になって少しは物価が下がってくれないかなー? | ||
| 投稿者 | はるか [103] | |
| 時刻 | 2025/12/19 09:10 | |
| 題名 | メモリ高騰 | |
| 16GB×2枚組が1万円から5万円になってる。AI需要でまだまだ上がりそう。 | ||
| 投稿者 | こうちゃん [104] | |
| 時刻 | 2025/12/19 18:00 | |
| 題名 | 本当かな(・o・)<「あ〜、あれね(・o・)<(tanx)^(1/n)の積分」 | |
| でも大学で解析学を習ってるから知ってるか〜(・o・) (tanx)^(1/n)の積分を直接求める問題は教科書には載っていなかったけど、相反公式を知っていればできるし(・o・) 日銀が利上げをしてもあまり円安方向に動かないような気がしています。利上げよりも前に日本の経済力自体が落ちてきているような気がします。普通に円安に向かっている中で、少し円高側に触れるかも知れませんが、わずかなものだと思います。政策金利が2%とかになったらまたお話は違ってくるかも知れないけど、しばらくは1ドル150円以上だと思います。 メモリー高騰は私も驚いています。今人気があるCFDのDDR5 SDRAM 16GB×2枚の価格推移はこちらです。1万円のメモリーが先週は5万円って言ってたのに今見たら6万4000円になっていました。それよりも市場に出回っているメモリー自体がほとんどなくなってきていて、この価格を出しても買えない状態になっています。また、SSDも価格が高騰しています。売れ筋のSandiskの2TBのSSDの価格推移はこちらです。2倍ぐらいまで高騰しているので、そのうちその影響がHDDにまで波及するかも知れないです。今のところ価格上昇の天井がまだ見えない状態です。となると、パソコンだけじゃなくて、スマホの価格も結構上がりそう。来年のiPhone18はiPhone17の価格よりもプラス5万円ぐらいしそう。 |
||
| 投稿者 | 烈火 [105] | |
| 時刻 | 2025/12/19 23:38 | |
| 題名 | (tanx)^(1/n)の積分 | |
| ありがとう。1行目の2個目の=のところが気付かなかった。相反公式は知ってた。さすがよね。 | ||
| 投稿者 | たっちゃん [106] | |
| 時刻 | 2025/12/20 00:01 | |
| 題名 | (tanx)^(1/n)の積分 | |
| 教科書には載ってないねぁ。昔うちの大学の解析学の定期テストの問題に入れたことがあるけど、正答率は1割もなかった。教科書に載ってる問題の正答率は高いんやけど、ちょっと応用したら解けなくなるもんなんやねぁ。 ここで言いたい事は「ハナテン中古車センターはビッグモーターに吸収された。」と言う事です。 |
||
| 投稿者 | 明子 [107] | |
| 時刻 | 2025/12/20 08:19:08 | |
| 題名 | ( ̄ー ̄)<100番 | |
| 1分差で負けた( ̄ー ̄;) トイレに行く前に投稿すれば良かった( ̄ー ̄) |
||
| 投稿者 | ゆみM [108] | |
| 時刻 | 2025/12/20 08:19:22 | |
| 題名 | メモリー | |
| メモリーそんなに高くなってるのですねー。次パソコン買う時に困りますねー。あとはスマホも値段上がるのかなー?価格が下がる情報ってないけど上がる情報ばかりですねー。 | ||
| 投稿者 | はるか [109] | |
| 時刻 | 2025/12/20 09:10 | |
| 題名 | メモリ高騰 | |
| 使っていないメモリーが10枚あるからそのうち売りに行こうかな。 | ||
| 投稿者 | こうちゃん [110] | |
| 時刻 | 2025/12/20 10:00 | |
| 題名 | キリ番 | |
| 100番のキリ番おめでとうございます>かおRさん キリ番を獲得されたかおRさんには私のサイン入りステッカー(今年もお疲れさまでしたVer.)をお渡しいたしますので楽しみにしておいて下さい。 |
||
| 投稿者 | 烈火 [111] | |
| 時刻 | 2025/12/21 00:11 | |
| 題名 | メモリー | |
| メモリーそんなに高くなってきたんだ。AI需要すごいんだな。 | ||
| 投稿者 | 明子 [112] | |
| 時刻 | 2025/12/21 09:01 | |
| 題名 | ( ̄ー ̄)<メモリー | |
| 昔は64MBで1万円ぐらいしてたイメージ( ̄ー ̄) Windows98の頃( ̄ー ̄) |
||
| 投稿者 | ゆみM [113] | |
| 時刻 | 2025/12/21 09:11 | |
| 題名 | 忘年会 | |
| 今週の金曜日の夜に忘年会をやります。うちでやるのでみんな仕事帰りに来て下さいねー。お土産なくても大丈夫ですよー。 | ||
| 投稿者 | はるか [114] | |
| 時刻 | 2025/12/21 09:40 | |
| 題名 | あと4日 | |
| 今週頑張れば26日から年末年始休暇。楽しみ。 | ||
| 投稿者 | こうちゃん [115] | |
| 時刻 | 2025/12/21 10:00 | |
| 題名 | あと5日 | |
| 私も27日からお休みなので楽しみです。26日は忘年会をやるみたいなので、私もかおRさんと一緒に参加させていただきます。楽しみにしています。 | ||
| 投稿者 | 明子 [116] | |
| 時刻 | 2025/12/22 07:18 | |
| 題名 | ( ̄ー ̄)b<忘年会 | |
| 楽しみにしてるわ( ̄ー ̄) 私は獺祭2本持って行くわ( ̄ー ̄) |
||
| 投稿者 | ゆみM [117] | |
| 時刻 | 2025/12/22 08:18 | |
| 題名 | 忘年会 | |
| みんな来てくれるみたいなので大掃除もやっておきますねー。今日と明日でピカピカにしておきます! | ||
| 投稿者 | はるか [118] | |
| 時刻 | 2025/12/22 09:10 | |
| 題名 | あと4日 | |
| 今週頑張れば26日から年末年始休暇。楽しみ。 | ||
| 投稿者 | こうちゃん [119] | |
| 時刻 | 2025/12/22 19:00 | |
| 題名 | 12月最終稼働週 | |
| 今日会社に行ったらみんな忙しそうにしていて結構ピリピリしていました。今年中に終わらせておかないといけない仕事を頑張っているみたいでした。まるで夏休みの宿題を夏休みの最終週に慌ててやっているかのような感じがしました。私は今週はあまりやる事がないので、明日から3日間また在宅勤務にしようと思います。 | ||
| 投稿者 | 明子 [120] | |
| 時刻 | 2025/12/23 07:17 | |
| 題名 | ( ̄ー ̄)<ピリピリ | |
| みんな年内に仕事を終わらせようと思って必死なのよ( ̄ー ̄) 終わらなさそうな仕事は他人に任せようと思って押し付けあってるし( ̄ー ̄) もうちょっと計画的にやらないと( ̄ー ̄) |
||
| 投稿者 | ゆみM [121] | |
| 時刻 | 2025/12/23 08:19 | |
| 題名 | 大掃除 | |
| 大掃除よっしーも手伝ってくれて結構終わりましたよー。お風呂の排水溝まで綺麗にお掃除しましたからねー。あとは蛍光灯とか天井とか頑張りますよー。 | ||
| 投稿者 | はるか [122] | |
| 時刻 | 2025/12/23 09:10 | |
| 題名 | あと3日 | |
| 今年の仕事ももう終わった。改善点をまとめて来年に活かすようにしないと。 | ||
| 投稿者 | こうちゃん [123] | |
| 時刻 | 2025/12/23 19:00 | |
| 題名 | 金価格 | |
| 金価格が1gあたり24552円になりました。この1年で60%ぐらい上昇しました。半分ぐらいは税金で持って行かれてしまうのですが、それでも30%分は上がっているので嬉しいです。貨幣の価値が落ちてきているので、これからも上昇していくのかな〜。来年は1g30000円になるのかな〜。 | ||
| 投稿者 | 明子 [124] | |
| 時刻 | 2025/12/24 07:18 | |
| 題名 | ( ̄ー ̄)<金1g30000円 | |
| 通貨の価値が落ちて行くので10年後には1g10万円になっててもおかしくなさそう( ̄ー ̄) その変わり物価も3倍ぐらいになってて定食3000円とか普通にありえそう( ̄ー ̄) |
||
| 投稿者 | ゆみM [125] | |
| 時刻 | 2025/12/24 08:18 | |
| 題名 | 金 | |
| 高島屋のゴールドショップに行くと金製品がたくさん展示してありますよねー。海外の観光客がめっちゃ真剣に見ていました。メダルでも100万円くらいするけどめっちゃ綺麗ですねー。私は金塊を持ってるからそれで満足ですけどねー。 | ||
| 投稿者 | はるか [126] | |
| 時刻 | 2025/12/24 09:10 | |
| 題名 | 金 | |
| いつの間にこんなに上がったのだろう。ひょっとすると日本円が下がっただけなのかな。 | ||
| 投稿者 | こうちゃん [127] | |
| 時刻 | 2025/12/24 19:00 | |
| 題名 | 金価格 | |
| みなさんがおっしゃっているように、金価格が日本円に対して相対的に高くなってきています。でも日本で生活していると、普段は日本円を使って生活していくことが多いので、生活費は年々上がっていくと思います。それでも日本円の価値が落ちるよりも金価格が相対的に上がる速度が速いような気がするので、金を持っておくと資産形成をしていくことができると思っています。物価上昇は今後ずっと続いていくので、日本円しか持っていない人は今後かなり厳しい状況になっていきそうな気がします。 | ||
| 投稿者 | 明子 [128] | |
| 時刻 | 2025/12/25 07:17 | |
| 題名 | ( ̄ー ̄)<日本円 | |
| 日本円しか持っていない人は物価が上昇して厳しいだけよね( ̄ー ̄) やっぱり株を持ってないと( ̄ー ̄) |
||
| 投稿者 | ゆみM [129] | |
| 時刻 | 2025/12/25 08:20 | |
| 題名 | 金 | |
| 1g25000円になりましたねー。こうちゃんと香織ちゃんが喜んでそう。でも香織ちゃんがお金関連で喜んでる姿があまり想像できないですけどねー。 香織ちゃん:「金価格が上昇してウハウハだぜー!」 一度聞いてみたいですねー。 |
||
| 投稿者 | はるか [130] | |
| 時刻 | 2025/12/25 09:10 | |
| 題名 | 金 | |
| 1g25000円。年内に23000円ぐらいになるって予想されてたけど上回ったね。 | ||
| 投稿者 | こうちゃん [131] | |
| 時刻 | 2025/12/25 19:00 | |
| 題名 | 金価格 | |
| 「金はちょっと上がり過ぎてもう今からじゃ買えない。」という言葉をよく耳にするのですが、別に1kg単位で買わないといけないわけじゃなくて、3000円から積み立てられるので、今からでも積み立てても良さそうなのに。日本円で持ってるぐらいならその方がましだと思います。ちなみに私もかおRさんが「金価格が上昇してウハウハだぜー!」って言っているのを聞いたことがないです。 | ||
| 投稿者 | すぃ泉進二郎 [132] | |
| 時刻 | 2025/12/25 19:17 | |
| 題名 | 金価格があがってウハウハですね(・o・) | |
| 私は国民の皆様には金より株をお勧めしますね(・o・) いかなる時期が売り時に該当するかについては、実際に発生した事態の個別具体的な状況に即して、 所有者が全ての情報を総合して判断する、これに尽きるということです(・o・) 媚中議員の岡田先生はクビです(・o・) |
||
| 投稿者 | 明子 [133] | |
| 時刻 | 2025/12/26 07:15 | |
| 題名 | あるある( ̄ー ̄)<「金価格が上昇してウハウハだぜー!」 | |
| 香織ちゃんの口から聞いたことあるある( ̄ー ̄)<「金価格が上昇してウハウハだぜー!」 きっと今日の忘年会でも言ってくれるはず( ̄ー ̄)( ̄ー ̄)( ̄ー ̄) |
||
| 投稿者 | ゆみM [134] | |
| 時刻 | 2025/12/26 08:19 | |
| 題名 | 忘年会 | |
| 今日は予定通り18時からうちで忘年会をやりますよー。はるかちゃんは今日からお休みだから手伝ってくれるみたいです。楽しみにしておいて下さいねー。 | ||
| 投稿者 | はるか [135] | |
| 時刻 | 2025/12/26 09:10 | |
| 題名 | 11連休 | |
| 今日から休み。ゆみM家に遊びに行こうかな。 | ||
| 投稿者 | こうちゃん [136] | |
| 時刻 | 2025/12/26 17:00 | |
| 題名 | 金価格 | |
| 今日は1時間有休を取りました。忘年会に黒ラベルを持って行こうと思います。最近プレミアムモルツよりも黒ラベルにはまっています。黒ラベルは今は若い男女を中心に売り上げが伸びているみたいです。苦味の中に旨味があるのが特徴です。1杯目においしく飲んでもらうためにこだわったビールで、2杯目からは違うお酒を飲む人に好まれているみたいです。確かに2杯目以降もビールを飲む人は結構少ない気がします。私はたまに2杯目や3杯目にビールに戻ることがありますが、それでも1杯目のビールの味と比べるとやっぱり落ちる気がします。ビールの風味や旨味を残して1杯目に特化することによって黒ラベルを選んでもらおうとしているところがキリンのすごいところだと思います。 | ||
| 投稿者 | こうちゃん [137] | |
| 時刻 | 2025/12/26 17:05 | |
| 題名 | (・o・)<株 | |
| 株は結局投資信託しか買ってないか〜(・o・) 個別株で上がる株を狙って買うことは至難の業のような気がする(・o・) 個別株で1年あたり5%以上の利益を出している人は、個別株のみを買っている人の1割だと聞いたことがあります。任天堂だけ遊びで100株買ったけど、最近は結構下がってきて結局年で10%上がるかどうかのところで落ち着きそうです。もっとこまめに売り買いしている人は儲かるのかな〜。 |
||
| 投稿者 | 明子 [138] | |
| 時刻 | 2025/12/27 08:18 | |
| 題名 | ( ̄ー ̄)<個別株 | |
| 上がる株を狙って買えたと思っても実際は大体の株が上がってるような気がする( ̄ー ̄) 狙って買った株と適当に買った株を放置してたけどどっちも普通に上がってた( ̄ー ̄) ここ10年うらいはどんな株を買っても大体上がってた時期のような気がする( ̄ー ̄) |
||
| 投稿者 | ゆみM [139] | |
| 時刻 | 2025/12/27 08:20 | |
| 題名 | 忘年会 | |
| 忘年会楽しかったですねー。香織ちゃんが「金価格が上昇してウハウハだぜー!」って言ってくれましたからねー。 すぃ泉さんは個別の株を見極めて買っているのですねー。さすがはすぃ泉進次郎! |
||
| 投稿者 | はるか [140] | |
| 時刻 | 2025/12/27 09:10 | |
| 題名 | 株 | |
| ユニクロのファストリーディングの株を買ったけど普通に3倍ぐらいになってる。上がり方を見てるとこれからは金の方が上がりそうな気もする。 | ||
| 投稿者 | こうちゃん [141] | |
| 時刻 | 2025/12/27 10:00 | |
| 題名 | 言ってなかった気がする(・o・)<「金価格が上昇してウハウハだぜー!」 | |
| かおRさんの後ろに居た( ̄ー ̄)さんがかおRさんの真似をして「金価格が上昇してウハウハだぜー!」って言ってました。 かおRさんのお母さんに聞くと、金よりも株の方が面白いと言ってました。かおRさんのお母さんは株でかなり儲けてて、調子が良いと10倍20倍どころの増え方ではないと言ってました。私はそんな経験をしたことがないのですが、金で4倍ぐらいになったのでとりあえず満足です。地道にコツコツ増やして行きます。 |
||
| 投稿者 | 烈火 [142] | |
| 時刻 | 2025/12/28 00:15 | |
| 題名 | 金 | |
| 金価格は世界経済の動向や地政学的なリスクの影響を大きく受けそう。それでも地球上に50mプール3〜4杯しかないと言われてるから価値が0になることはなさそう。 | ||
| 投稿者 | 明子 [143] | |
| 時刻 | 2025/12/28 09:02 | |
| 題名 | 言ってなかったか( ̄ー ̄ゞ<「金価格が上昇してウハウハだぜー!」 | |
| 私の夢の中では結構言ってた気がしたのに( ̄ー ̄) 香織ちゃん:「貧乏人は私の前にひれ伏しなさい( ̄m ̄)」 (゜o゜) |
||
| 投稿者 | ゆみM [144] | |
| 時刻 | 2025/12/28 09:14 | |
| 題名 | 言ってなかったのですねー | |
| 失礼しましたー。結構似てたから分からなかったのかも知れませんねー。でも実際は儲けててウハウハ状態だと思いますけどねー。もうお仕事とか辞めちゃって、旅行三昧で遊んでてもやって行けそうな気がするけどねー。 | ||
| 投稿者 | はるか [145] | |
| 時刻 | 2025/12/28 09:40 | |
| 題名 | 株 | |
| ユニクロのファストリーディングの株を買ったけど普通に3倍ぐらいになってる。上がり方を見てるとこれからは金の方が上がりそうな気もする。 | ||
| 投稿者 | こうちゃん [146] | |
| 時刻 | 2025/12/28 10:00 | |
| 題名 | 温泉旅行 | |
| 明日からかおRさんと一緒に白浜温泉に旅行に行って来ます。年末に温泉旅行に行くのは初めてです。またお土産を買って来ますので楽しみにしておいて下さい。 | ||
| 投稿者 | 明子 [147] | |
| 時刻 | 2025/12/29 08:15 | |
| 題名 | ( ̄ー ̄)<温泉旅行 | |
| お土産期待してるわ( ̄¬ ̄) | ||
| 投稿者 | ゆみM [148] | |
| 時刻 | 2025/12/29 08:20 | |
| 題名 | 楽しんできてくださいねー | |
| おいしいものたくさん食べてゆっくり温泉に入ってのんびりしてきてくださいねー。お土産期待しています! | ||
| 投稿者 | はるか [149] | |
| 時刻 | 2025/12/29 09:10 | |
| 題名 | 金 | |
| 金だけじゃなくて銀もプラチナも上がってるね。普通に日本円の価値が落ちている以上に上がってる気がする。 | ||
| 投稿者 | 明子 [150] | |
| 時刻 | 2025/12/30 08:15 | |
| 題名 | ( ̄ー ̄)<金銀プラチナ | |
| 銀とプラチナもコロナの時に3000万円ずつぐらい買ってた気がする( ̄ー ̄) さっき見たら銀が5倍でプラチナも2倍ぐらいになっててビックリした( ̄ー ̄;) 松坂牛の焼肉でも食べるか( ̄¬ ̄) |
||
| 投稿者 | ゆみM [151] | |
| 時刻 | 2025/12/30 08:22 | |
| 題名 | 浩ちゃん掲示板の更新 | |
| 一応浩ちゃん掲示板の更新をしておきますねー。明日帰ってくるのかなー?またお正月にお話聞かせて下さいねー。 | ||
| 投稿者 | はるか [152] | |
| 時刻 | 2025/12/30 09:10 | |
| 題名 | 銀 | |
| 銀は普通に生産できるのに価格が上がるんだ。 | ||
| 投稿者 | 明子 [153] | |
| 時刻 | 2025/12/31 08:17 | |
| 題名 | ( ̄ー ̄)<銀 | |
| 元々が安かったって噂( ̄ー ̄) 適正価格になるまでは価格が上がりそう( ̄ー ̄) その後は貨幣価値の下落分だけ上がっていきそう( ̄ー ̄) |
||
| 投稿者 | ゆみM [154] | |
| 時刻 | 2025/12/31 08:20 | |
| 題名 | 浩ちゃん掲示板の更新 | |
| 今日こうちゃんが帰って来るから今日まで私が更新しておきますねー。お土産期待していますねー。 | ||
| 投稿者 | はるか [155] | |
| 時刻 | 2025/12/31 09:10 | |
| 題名 | 銀が5倍? | |
| 焼肉おごりかな | ||
| 投稿者 | こうちゃん [156] | |
| 時刻 | 2025/12/31 17:00 | |
| 題名 | 温泉旅行 | |
| 一昨日から2泊3日でかおRさんと一緒に白浜温泉に旅行に行って来ました。1日目に白浜温泉に行って2日目に黒潮市場に行きました。1日目は結構のんびりと温泉に入るのがメインで、2日目はマグロの解体ショーを見たりポルトヨーロッパを見たりして観光メインでした。年末は人が多いのか少ないのか分からなかったのですが、思っていたよりも人が少なかったです。結構のんびりすることができました。今夜は年越しそばを食べてのほほんとしたいと思います。 今月も、そして今年もたくさんのご意見をいただきありがとうございました。私の意見も含んでいますが、今月は156件ものご意見をいただき、誠にありがとうございました。今年はどんな一年だったでしょうか? 私個人としては、たくさん旅行に行った一年だったと思います。また来年も色々なところに出掛けられたら良いなと思います。 来年も浩ちゃんは"ほなね"のホームページならびに浩ちゃん掲示板をよろしくお願いいたします。 |
||